overleaf template galleryLaTeX templates and examples — Recent
Discover LaTeX templates and examples to help with everything from writing a journal article to using a specific LaTeX package.

Template File for Invited Papers to IEEE JMW

Template do Encontro de Pós-Graduandos do IMECC 2024

This is a tikz-drawn facsimile for D. J. Griffith's script r notation, used in his book Introduction to Electrodynamics. Feel free to use the code as you will, don't bother mentioning my name when doing it.

Este ejemplo muestra el Convertidor ADC (Analógico a Digital) Sigma Delte de Segundo Orden que a diferencia del Convertidor de primer orden, tiene dos etapas integradoras de las señales de diferencia que provienen de los sumadores. En este caso, a la salida del segundo integrador aparece el comparador como convertidor ADC de 1 bit cuya salida alimenta al bloque convertidor DAC (Digital a Analógico) de 1 bit y a la etapa de Filtro Digital o Diezmador. La teoría, en idioma inglés, de este diseño se encuentra en el documento "How delta-sigma ADCs work, Part 1", publicado por la empresa Texas Instruments de Bonnie Baker, disponible en el enlace https://www.ti.com/lit/pdf/slyt423?keyMatch=BONNIE%20BAKER&tisearch=Search-EN-technicaldocument

Este diagrama, realizado con órdenes de los paquetes TiKZ/PGF y CIRCUITIKZ, muestra un convertidor de señal analógica a digital del tipo Sigma Delta de Primer Orden. La entrada analógica (\(v_i\)) cuya amplitud debe estar dentro del rango de -1 Vdc a +1 Vdc, se resta de la señal de un convertidor digital a analógico (DAC) de 1 bit, cuya salida inicialmente es cero. La diferencia se integra y se compara con la tensión de tierra (0 V). La señal de salida del comparador es "0" o "1" y a la salida del DAC se obtiene -1 V o +1 V, respectivamente. La señal de salida del comparador contiene un flujo de modulación por densidad de pulsos. El comparador se sincroniza con una señal de reloj de frecuencia varias veces más grande que la mayor de las frecuencias de la señal de entrada \(v_i\). La figura con su explicación está disponible en la página 221 del texto "Principles of Electronic Communication Systems, 4th Edition" de Louis Frenzel, Jr. editado por Mc Graw Hill en el año 2016, a partir del cual se hizo su adaptación.

A template for writing a Bachelor or Master thesis with the title page style of the Vrije Universiteit Brussel, ULB and Bruface. Please report bugs at https://gitlab.com/rubdos/texlive-vub/issues

A template for writing a Bachelor, Master or PhD thesis with the title page style of the Vrije Universiteit Brussel. Please report bugs at https://gitlab.com/rubdos/texlive-vub/issues

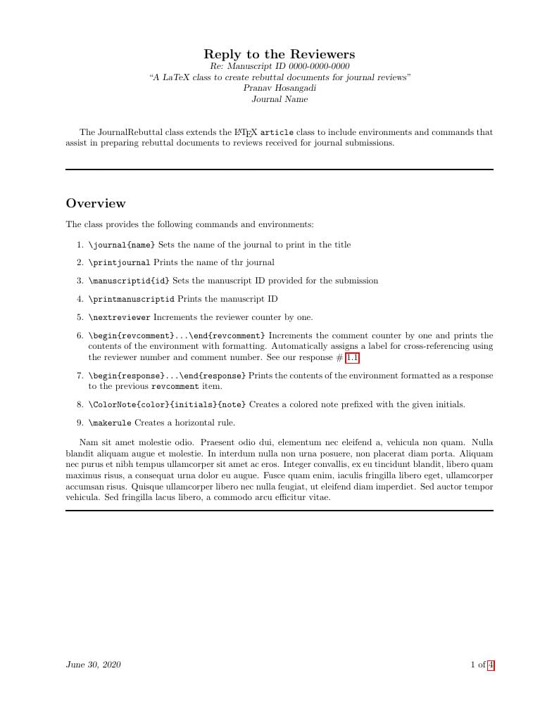
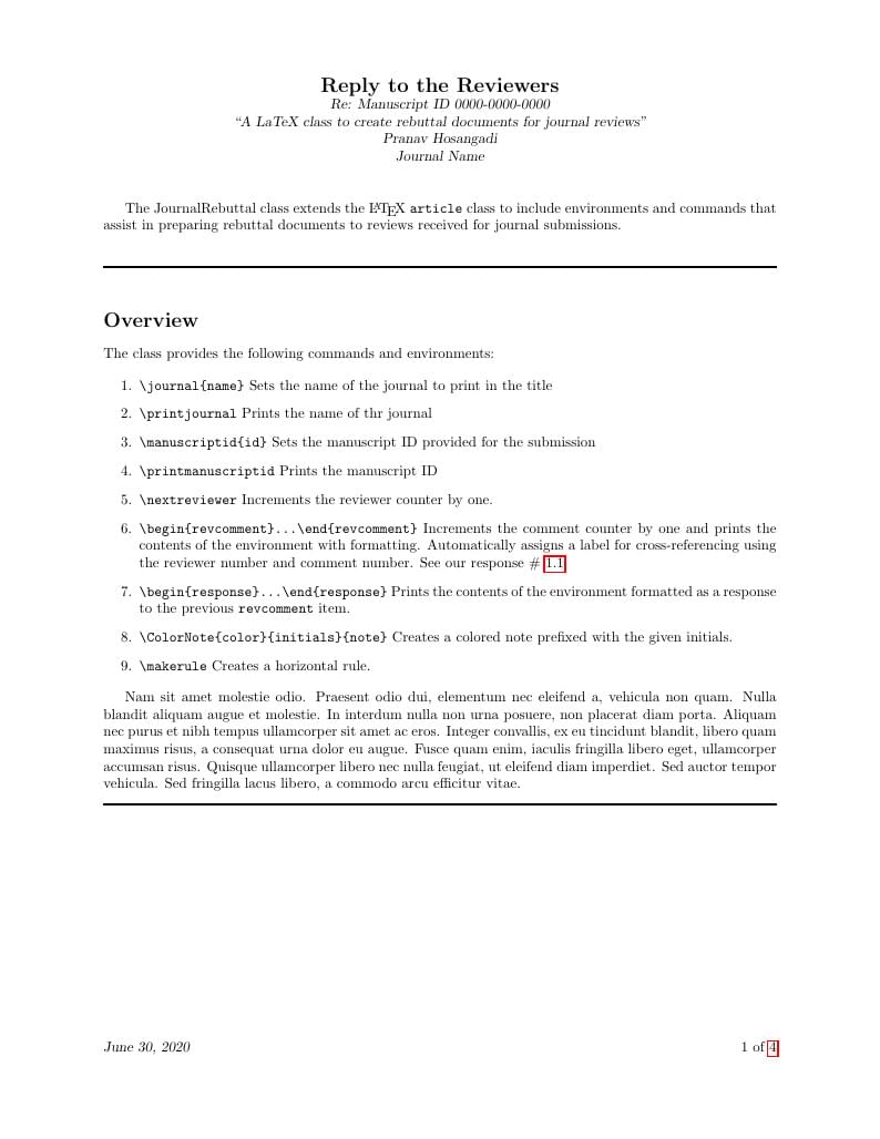
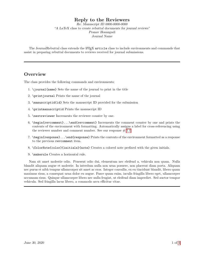
A template for writing rebuttal letters to reviews for journal submissions. Github repository: https://github.com/pranavh/JournalRebuttal_LaTeX/

Template para elaboração do projeto de Trabalho de Conclusão de Curso para a Escola de Matemática Aplicada FGV-EMAp
\begin
Discover why over 20 million people worldwide trust Overleaf with their work.