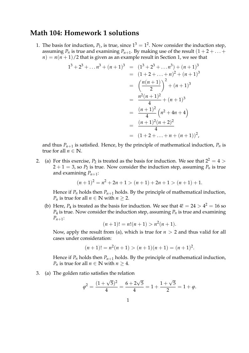
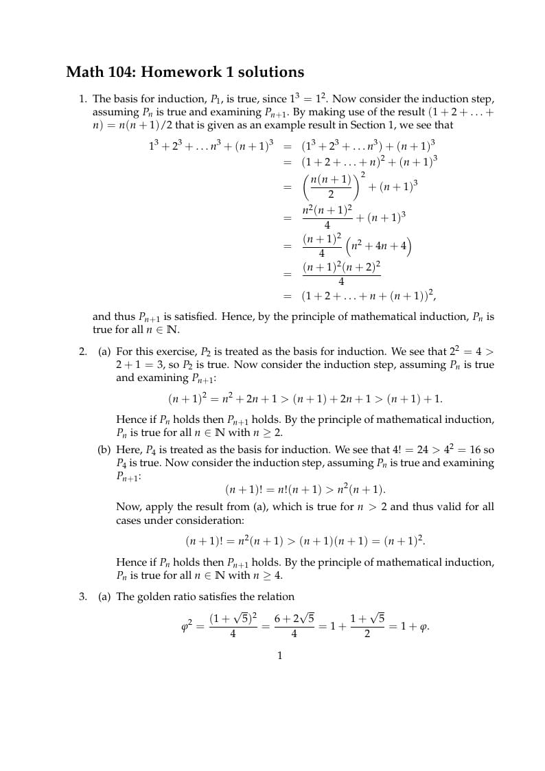
overleaf template galleryLaTeX examples — Recent
Examples to help you learn how to use powerful LaTeX packages and techniques.

Sample LaTeX files for homework questions, with solutions, created by Chris Rycroft. Source: http://people.seas.harvard.edu/~chr/104.S12/hw/ This example was originally published on ShareLaTeX and subsequently moved to Overleaf in October 2019.

Este gráfico es una mejora, aprovechando el uso de GNUPLOT, de la primera versión que fue publicada por Overleaf. En este caso, la onda de "diente de sierra" es definida según lo indicado en el texto "Mathematical Handbook of Formulas and Tables" de la serie "Schaum's Outlines", de la editorial McGraw Hill, Quinta Edición, página 145. Para mayor precisión, son sumados los 100 primeros términos de la Serie de Fourier, lo cual no afecta grandemente el tiempo de compilación en los servidores de Overleaf.

Tikz Example for UML2 Activity Diagram and Mathematical Block Diagram

Proof 1

The OpenDyslexic and OpenDyslexicAlta fonts are available on Overleaf, which you can use quickly with the fontspec package and XeLaTeX engine.

Bungee, Spring

Flaschenzug, pulley

La figura representa la bandera de Puerto Rico, de gran semejanza a la de Cuba ya que el grupo de separatistas puertorriqueños que adoptó el diseño de la bandera como emblema de su grupo, estaba asociado a los separatistas cubanos que luchaban con idénticos ideales. Sobre la identidad del autor del diseño, se sostiene que fue el patriota puertorriqueño Francisco Gonzalo Marín quien propuso a su compatriota José de la Matta Terreforte el diseño de la bandera y que después fue adoptada. A diferencia de la bandera de Cuba, en la de Puerto Rico se intercambian los colores de las barras y el triángulo equilátero y su relación de aspecto alto/largo es 3:2. Los detalles de diseño y colores de la bandera han sido tomados de la página http://vexilla-mundi.com/puerto_rico_flag.html, ya que la ley y reglamento sobre su uso y diseño no ofrecen detalles específicos de la tonalidad de los colores rojo y azul.

Esta es una imagen de la Bandera del Reino Unido de Gran Bretaña e Irlanda del Norte, también llamada "Union Jack" cuya versión final apareció en 1802, al producirse la unión de Gran Bretaña con Irlanda, a raíz de lo cual se incluyó la cruz de San Patricio porque con anterioridad ya se habían combinado las cruces de los patronos de Inglaterra y Escocia. La cruz permanece en la bandera aunque en la actualidad solamente Irlanda del Norte forma parte del Reino Unido. La "hoja de construcción" de la bandera se ha tomado de la página web http://vexilla-mundi.com/united_kingdom_flag.html, y las tonalidades de colores azul y rojo provienen de http://i1.wp.com/www.flaginstitute.org/wp/wp-content/uploads/2013/05/3x5-union-diagram.png?w=587, aunque no parece haber tonalidades que se consideren estándar. Los nombres de los colores son tomados de la página http://htmlcsscolor.com/.
\begin
Discover why over 20 million people worldwide trust Overleaf with their work.