overleaf template galleryLaTeX templates — Recent
LaTeX templates for journal articles, academic papers, CVs and résumés, presentations, and more.

Unofficial beamer theme for the Donders Institute for Brain, Cognition and Behaviour (Radboud University).

Latex template for special sessions in MCQMC 2024.

用于西北工业大学课程汇报/大作业的简易Latex模版。 A LaTeX template for NWPU course assignments.

A one-column resume. It uses the base latex templates and fonts to provide ease of use and installation when trying to update the resume. The different sections are clearly documented and custom commands are used to provide consistent formatting.

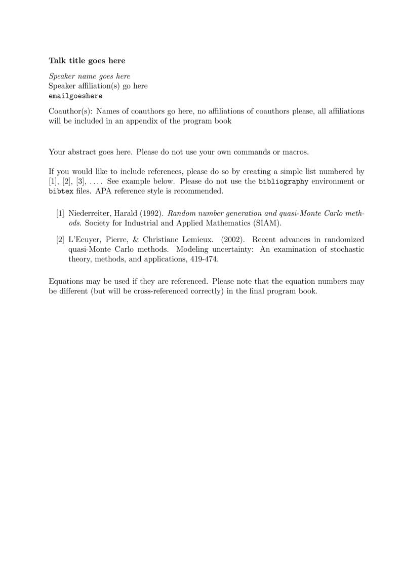
Latex template for contributed and invited talks in MCQMC 2024.

Article Template for IMTEC (Institute of Mathematics and Technology) - UFCAT (Federal University of Catalao) - Brazil

Modelo de Apresentação de Slides no Beamer do PPGSE da UTFPR.

Template for abstract submission for Warsaw Summer School on Advanced Optical Imaging – conference organised by the Candela Foundation.

LaTeX Template for the Technical University of Munich, Technische Universität München, TUM, Exposé for Doctoral School, DocGS. This template should be similar enough to the Word template given by DocGS.
\begin
Discover why over 25 million people worldwide trust Overleaf with their work.