Handy LaTeX templates for homework assignments to use at school, college, and university. They’re great for teachers to prep classes too.
Recent

Short Sectioned Assignment LaTeX Template Version 1.0 (5/5/12) This template has been downloaded from: http://www.LaTeXTemplates.com Original author: Frits Wenneker (http://www.howtotex.com) License: CC BY-NC-SA 3.0 (http://creativecommons.org/licenses/by-nc-sa/3.0/)

Homework Template. Note: This is a modified version of the original template by Dana Ernst.

This is the "correct" table format for RMIT Complex Mental Health, Trauma and Recovery course. A Recovery Focused Nursing Care Plan Assignment.

Um modelo, com capa, e artigos, desenvolvido para todos os alunos, ou não, que desejam um arquivo simples de se usar.

Simple problem set involving complex numbers.

Sample LaTeX document of math homework, created by Robert Hanson. Source: Robert Hanson webpage. This template was originally published on ShareLaTeX and subsequently moved to Overleaf in October 2019.

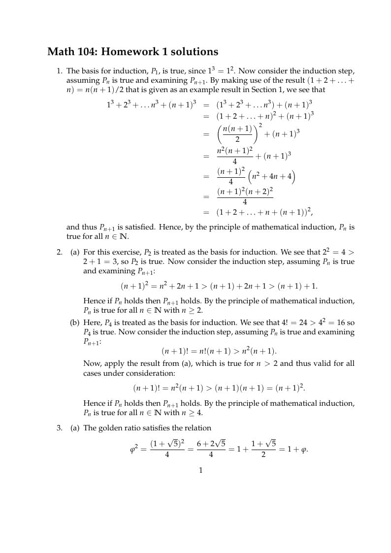
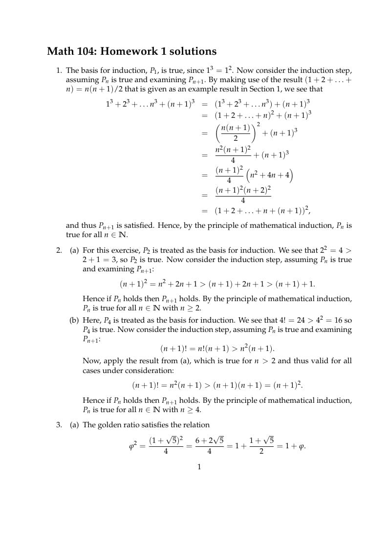
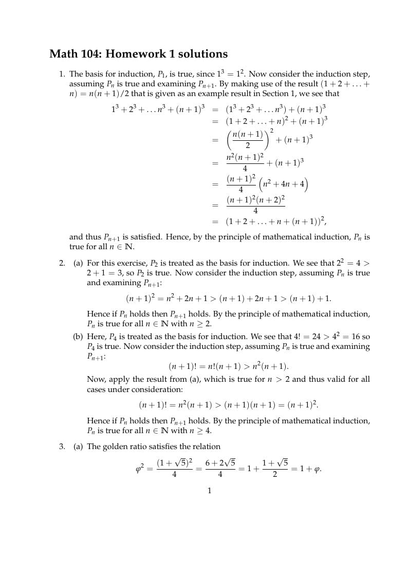
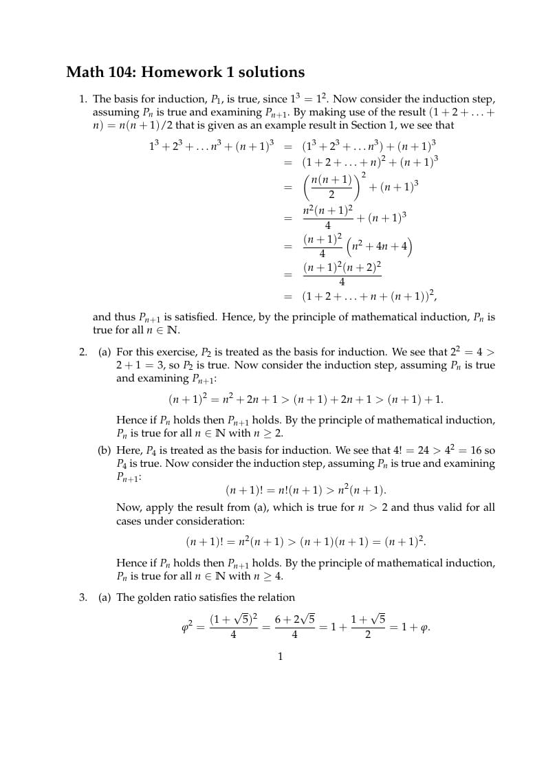
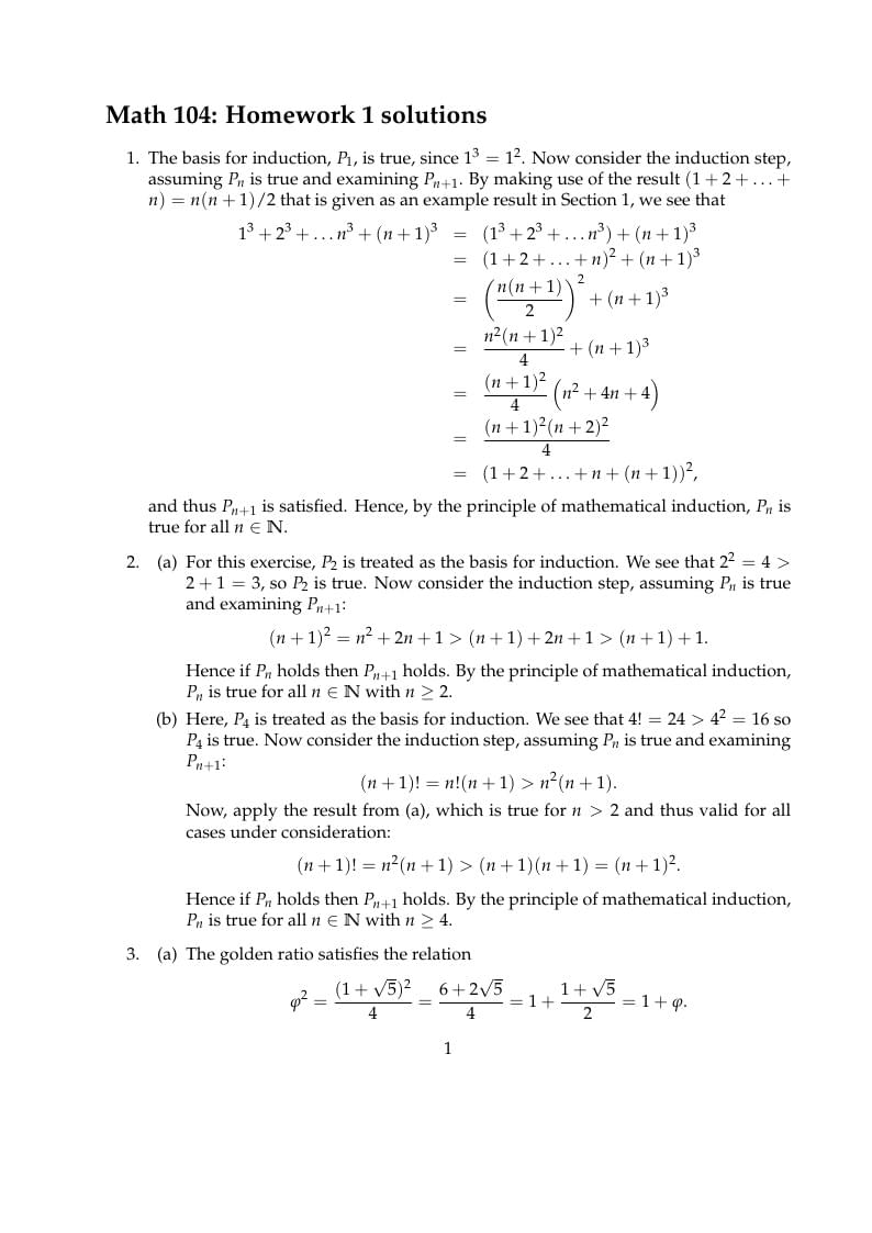
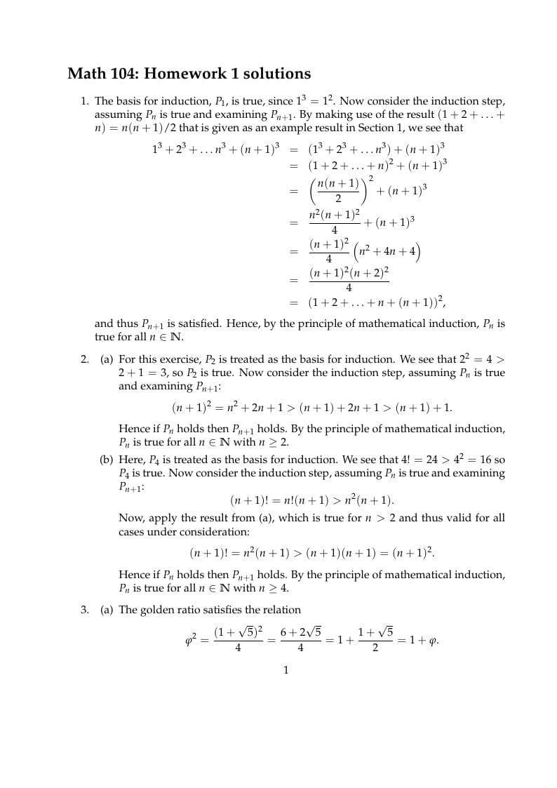
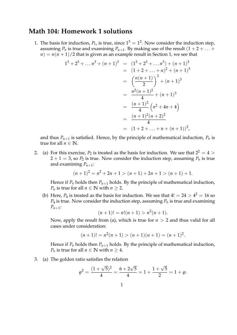
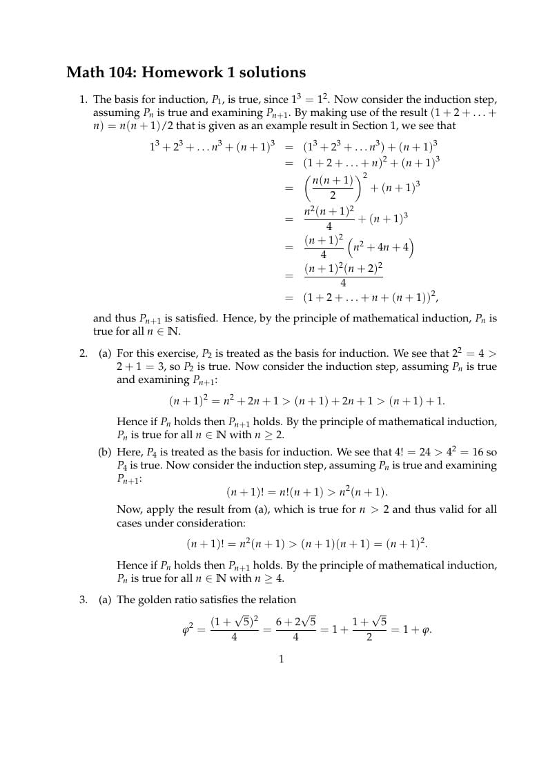
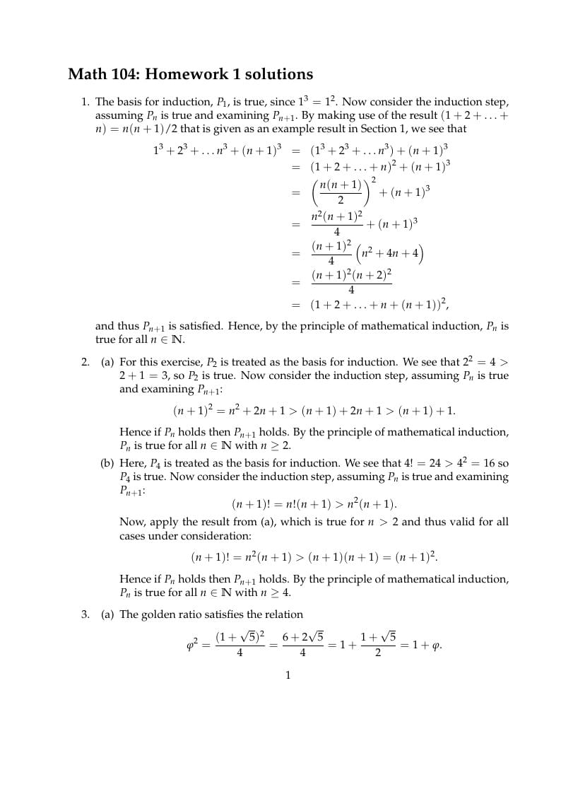
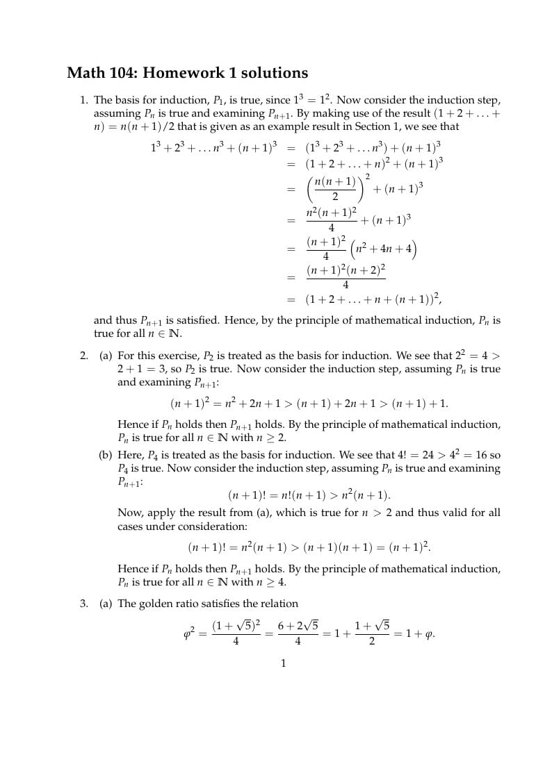
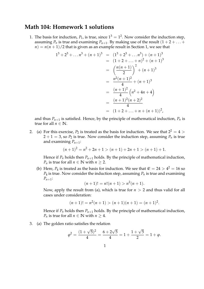
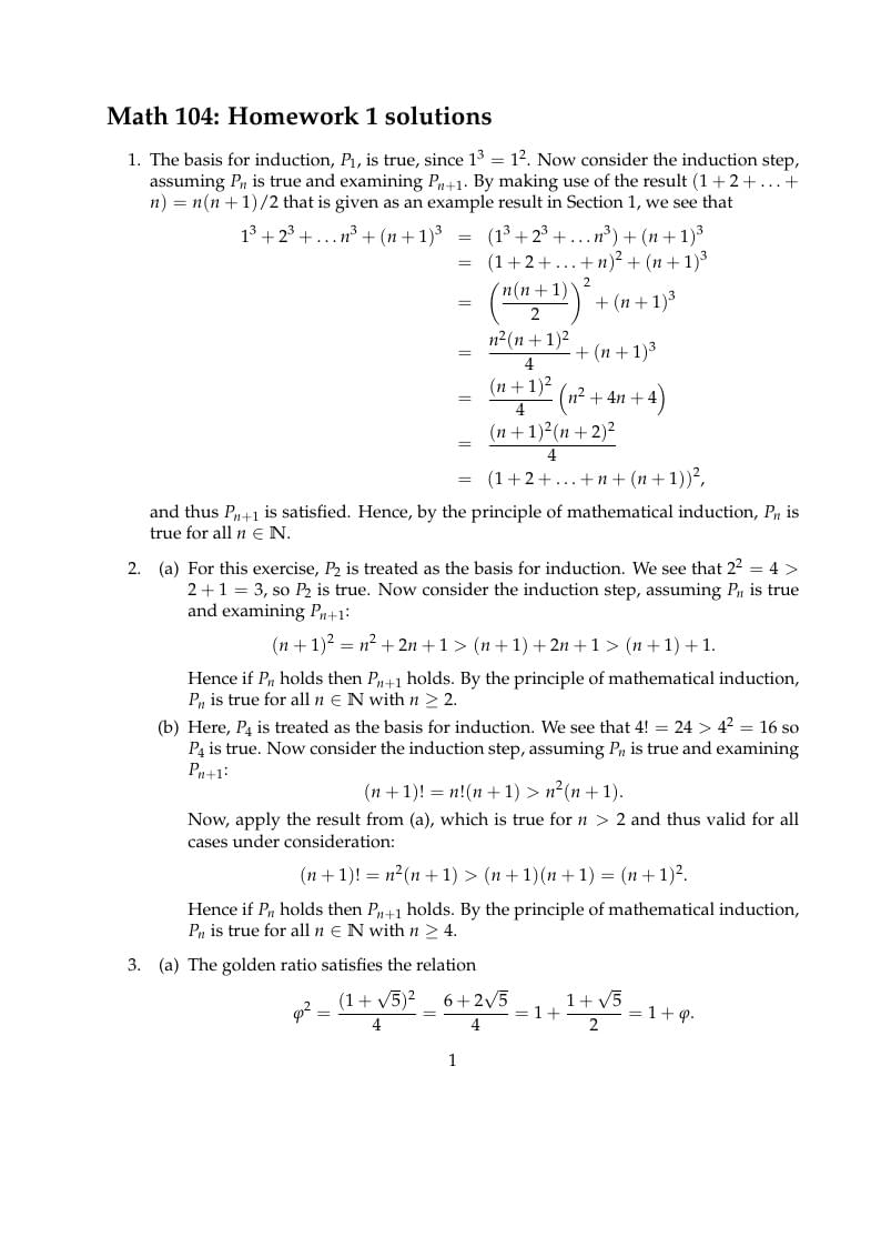
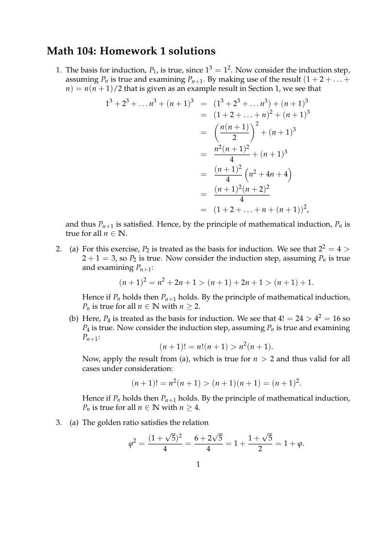
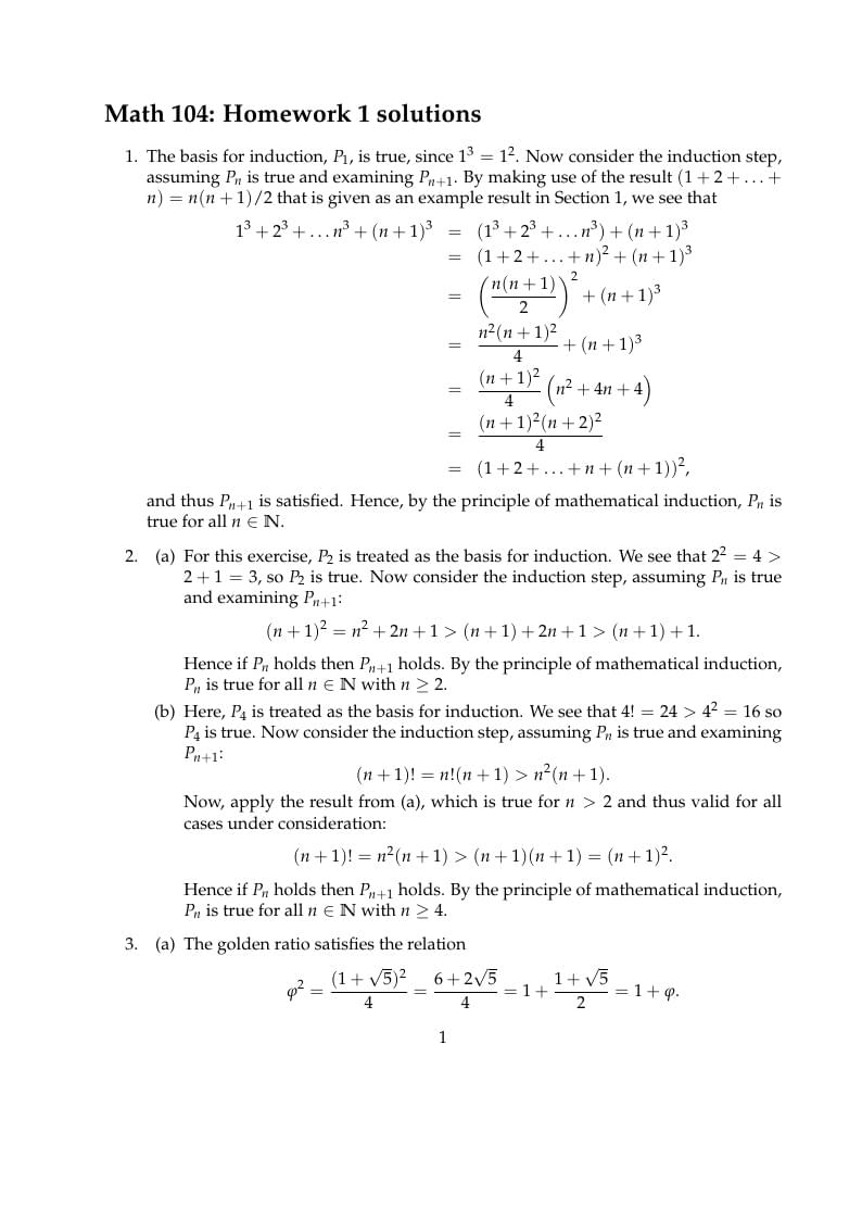
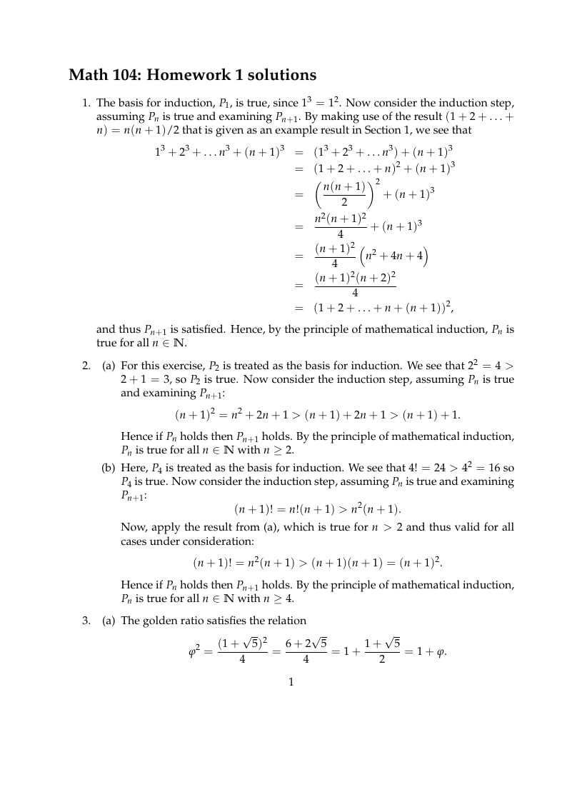
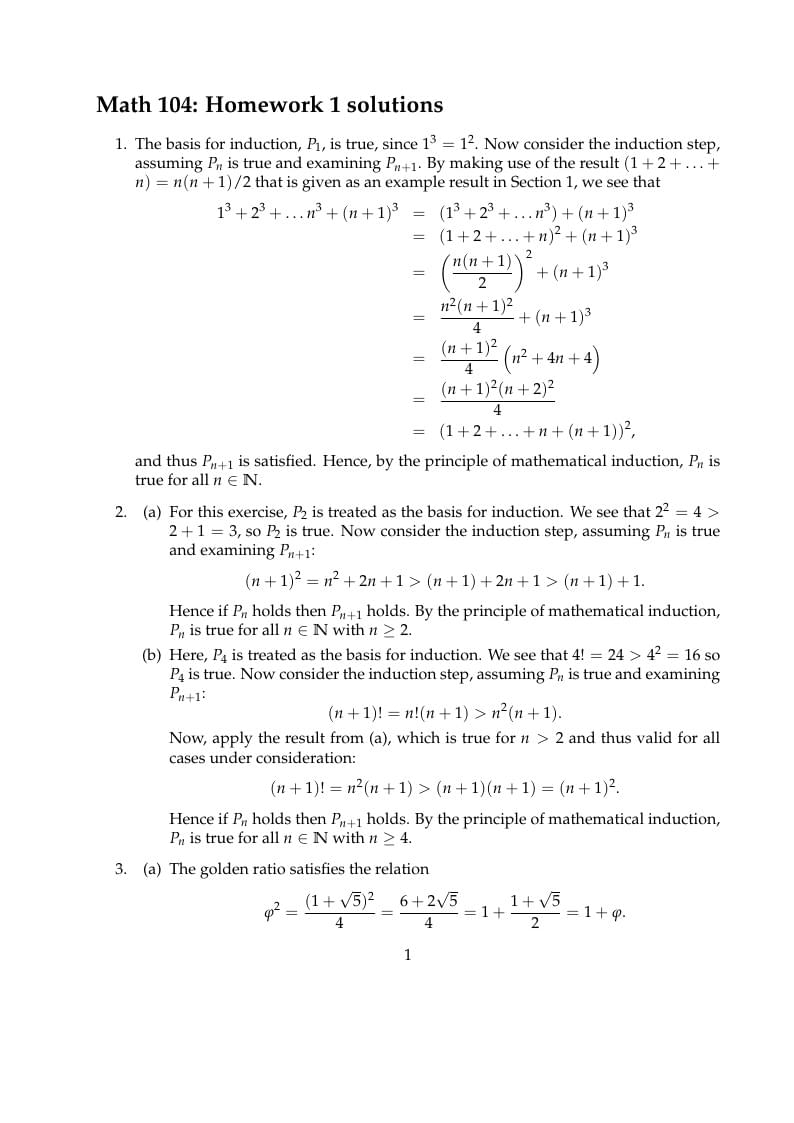
Sample LaTeX files for homework questions, with solutions, created by Chris Rycroft. Source: http://people.seas.harvard.edu/~chr/104.S12/hw/ This example was originally published on ShareLaTeX and subsequently moved to Overleaf in October 2019.

Here is an example of the maths oral I give in some preparatory class near Paris

Ejercicios de álgebra tomados del Baldor (edición 1980). Algebra exercises from Baldor (1980 edition)
\begin
Discover why over 25 million people worldwide trust Overleaf with their work.